【開催報告】御茶ノ水自習会(12/10)
- tss 東京自習会
- 2025年12月13日
- 読了時間: 3分
こんにちは!
ファシリテーターのシオミです(^▽^)/
12月10日(水)に開催した御茶ノ水自習会の報告をします。
目次
タイムスケジュール
勉強・作業内容
感想
参加申込みはこちら!
1.タイムスケジュール
今回は下記のタイムスケジュールで開催しました。
09:05 開催場所に集合,簡単に自己紹介・自習内容の共有
09:10 自習スタート
10:30 10分休憩
10:40 休憩終了・再開
11:30 振り返り・お知らせ
11:35 終了・解散
※スケジュールは目安です。
2.勉強・作業内容
主催を含め、2人での開催でした。勉強内容は以下になります。
社労士試験
統計(わたし)
この会では私は午後に試験ということもあり、最後の確認を行ったいました。
特にモデリングの分野の見返しを重点的に行っていました。
比較的新しい分野で狙い目なので。
まぁ、本番はモデリング分野ボロボロだったんですけどね。
ただ、この時間で勉強してた統計の問題と全く同じ問題が本番で出たりしたので、やっぱり直前の見直しは大切ですね。
本当に全く同じで、ポッキーのチョコに香辛料の匂いついたレベルの違いしかなかった。
5点ゲットだぜ。
3.感想
午後に試験を受けてきました。
手応えとしてはギリギリ落ちてるかなぁといった感じです。
合格点が60点で体感は50点前半から中盤。
マーク式で最後の足掻きで何となくあり得そうな数字にマークしたので、それがいくつかラッキーヒットしたらもしかしたらという感じですね。
でも今回は去年と違って殆どの問題で解答方針は立てられて(確率の大問だけちょっと分からなかった)、あとは計算スピードが足りなかったのと自分の計算ミスに試験時間中に気がついて修正できたら受かるんだけどなって思うくらいですね。この差が大きいのですが。
ちなみに気持ちの消化のために今回の凡ミスの何やってんだ選手権から1つ書きます。(どうしても気になったので試験終わりにGeminiと答え合わせして見つけました)
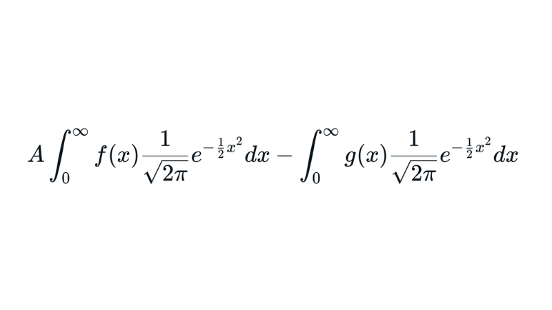
問題に↓みたいな積分があって、

計算の都合上、分けた方が積分を全部スキップできて楽だったので分けるのですが、本来↓みたいになるはずなんですよね。

それを、分ける時に後半部分に定数Aをかけ忘れて↓みたいにしてしまったのが原因でしたね。

結局、本番中にはどこをミスってるのか分からずに正答を出せなかったというのがあります。
ここをミスったからこの区画は先に進めず、本来の問題の意図の積分をスキップするステップには気がついて実行できていただけにもったいないことをしました。(本番でこうしない様に普段の演習から計算ミスをメモって見直していましたが、やっぱり出てしまい、しかも気がつけないという)
今回は解答の方針が全部立ってたのに解き切れない問題が多かったのは多分こんなミスがちょこちょこあったんだろうなと思っていて、問題と正答が公開されたら見直したい気持ちでいっぱいです。
ただ、去年と違って、だいぶ試験終わりの気持ちは晴れ晴れしています。
やっぱり基本的な解答の目処が立っていたのと、試験時間全部使って計算や見直しなど、その場でできそうなことは概ねやれたというのが気持ち的に大きいですね。
一旦試験が終わって、せっかく統計勉強してきたので統計検定とか受けたいですね。
最近統計検定勉強してる人多くて楽しそうですし。

参加申込みはこちら!
参加をご希望の方は下記のリンク先から参加方法をご確認の上、お申込み下さい。
開催予定のイベントを確認されたい方は、下記のリンク先からご確認下さい。
ご質問やご相談も公式ラインで受け付けていますので、お気軽にお問合せ下さい。(24時間以内にご返信致します。)
あなたのご参加お待ちしています(*'▽')



コメント